细节决定成败!空压机系统安装过程中有哪些需要注意的地方
空压机安装场所的选定最容易被工作人员所疏忽,往往空压机购置后就随意找个地方,配管后随即使用,根本无事前的规划。殊不知如此草率的结果,却形成了日后空压机频繁故障,维修困难与空气品质不良等后果,所以适当的安装场所是正确使用空压机系统的先决条件。
(1)选择采光良好的宽阔场所,以利于操作、保养和维修时所需的空间和照明。
(2)干燥的环境:机房所在场所应保持干燥,通风条件良好且灰尘少,空气清新。尽量避免多粉尘、多油、潮湿的环境,以减少对螺杆空压机的损伤,从而延长其使用寿命。更不能使螺杆空气压缩机吸入有腐蚀性气体、油漆分子和含有易爆或化学成分不稳定的或蒸汽等气体,以免危及空气压缩机使用人员或造成机组快速损坏。
(3)螺杆空压机房内应注意保持地面干净清洁,无杂物堆积,特别是易燃易爆品,并应配备灭火器等设施,使机房的安全性有保障。
(4)按照GB50029-2003《压缩空气站设计规范》的要求,压缩空气站机器间的采暖温度不宜低于15℃,非工作时间机器间的温度不得低于5℃。当空压机吸气口或机组冷却风吸风口设于室内时,其室内环境温度不应大于40℃。
(5)压力管道严禁磕碰:螺杆空压机房内的压力管道严禁磕碰,严禁在带电带压情况下进行拆装。
(6)如果工厂环境较差,灰尘多,须加装前置过滤设备,以保证空压机系统零件的使用寿命。
(7)当单台排气量等于或大于20m³ /min,且总安装容量等于或大于60m³/min 的压缩空气站,宜设检修用起重设备,其起重能力应按空压机组最重部件确定。
(8)不要紧贴墙面。空压机的放置应注意不要紧贴墙面,要预留出一定的距离,以保证有一定的通风和检修空间,也有利于空压机的保养和维护。按照GB50029-2003《压缩空气站设计规范》的要求,空压机组与墙之间的通道宽度按排气量大小为0.8~1.5m的距离。
2.压缩空气管路配管应注意的事项
(1)主管路配管时,管路须有1°~2°的倾斜度,以利于管路中冷凝水的排出。
(2)配管管路的压力降不得超过空压机使用压力的5%,故配管时最好选用比设计值大的管路。
空压机是通过管路、阀门等和其它设备构成一个完整的系统。管道的设计计算和安装不当,将会影响整个系统的经济性及工作的可靠性,甚至会带来严重的破坏性事故。
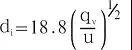
管道内径可按预先选取的气体流速由下式求得:
式中,di为管道内径(mm);qv为气体容积流量(m³/h);u为管内气体平均流速(m/s)。表1中给出了压缩空气的平均流速取值范围。
(3)支线管路必须从主管路的顶端接出,以避免主管路中的凝结水下流至工作机械中或者回流至空压机中。
(4)管路不要任意缩小或放大,管路需使用渐缩管,若没有使用渐缩管,在接头处会有扰流产生,产生扰流则会导致大的压力降,同时对管路的寿命也有不利影响。 (5)空压机之后如果有储气罐及干燥机等净化缓冲设备,理想的配管顺序应是空压机+储气罐+干燥机。储气罐可将部分的冷凝水滤除,同时也有降低气体温度的功能。将较低温度且含水量较少的压缩空气再导入干燥机,则可减轻干燥机负荷。
(6)若空气使用量很大且时间很短,最好另加装一储气罐做为缓冲之用,这样可以减少空压机加泄载次数,对空压机使用寿命有很大的益处。
(7)管路中尽量减少使用弯头及各种阀类。
(8)理想的配管是主管线环绕整个厂房,这样可以在任何位置均可以获得双方向的压缩空气。如在某支线用气量突然大增时,可以减少压降。除此之外,在环状主管线上应配置适当的阀组,以利于检修时切断之用。
(9)多台空压机空气输出管道并联联网时,空压机输出端无须加装止回阀。
3. 空压机的基础
空压机的基础应建立在硬质土壤上,在安装前将基础水平面抹平,以避免振动发生。如装在楼上,须做好防振措施,否则振动传至楼下或产生共振现象,极易对空压机与建筑物造成危害。一般螺杆空压机的振动速度值在11.2mm/s(皮带传动)和7.1 mm/s(联轴器传动)以下,可以不做特殊处理,可砌一个高约120mm,长宽略大于空压机底面积的平台地基,以利于排污。
4. 冷却系统
水冷式空压机冷却用水的水质标准,应符合GB5005《工业循环冷却水处理设计规范》的规定。当企业内部有软化水可以利用,且系统又经济合理时,系统内的循环水可采用软化水。
主要是避免水中的钙、镁等离子在冷却器中因高温而起化学反应,最后在冷却器中结成水垢,从而影响冷却器的冷却效率。冷却水水压一般在0.15~0.4MPa之间,冷却水出口温度应保持在大于入口温度6℃~10℃之间。其冷却水进水管道应安装过滤网,且进出水管道需分别安装压力表、温度计和截止阀。
风冷式空压机须注意其通风环境,不得将空压机置于高温机械的附近或通风不良的封闭空间内,以免导致排气高温而停机。若放置在一封闭空间中使用,须加装进、排风设备,进风口设在机房的下部,排风口设在机房的上部,以利于冷空气循环。一般而言,其进、排风风量须大于空压机散热排风量。
5. 电力系统
空压机配电时,须保证电源电压的正确性。依据所使用空压机的功率大小,选择正确的电源线线径,不得使用小的电源线,否则电源线会因负荷过高产生高温而烧毁。电源线须采用多股铜芯电缆,三相四线制其中一相为接地线。空压机最好单独使用一套电力系统,尤其要避免与其他大的电力消耗系统并联使用,否则可能因过大的电压降或三相电流不平衡,而造成空压机主电机过载而停机,大功率空压机尤其须注意。
且供电网络负荷应均匀,电压波动在±5%内,三相电压不平衡允许在±1%。配电柜至空压机的供电电缆中间不能有连接点。依据空压机的功率大小选择适当的空气开关,以维护电力系统与维修保养的安全。电力系统的接地线应确保架设,而且接地线不可直接接在压缩空气输送管或冷却水管上。
- 上一篇:压缩空气中含水多原因与解决办法梳理 2021/7/27
- 下一篇:螺杆空压机出现散热不足的原因分析 2021/7/26
